Файл: Численные методы решения систем линейных алгебраических уравнений.docx
ВУЗ: Не указан
Категория: Не указан
Дисциплина: Не указана
Добавлен: 04.02.2024
Просмотров: 137
Скачиваний: 1
ВНИМАНИЕ! Если данный файл нарушает Ваши авторские права, то обязательно сообщите нам.
.
Насколько можно попытаться понять вопрос и доступную информацию, то универсальным способом проверки решений является метод Гаусса. Также можно применять и метод Крамера, но необходимо, чтобы определитель не был равен нулю и количество переменных было равно числу уравнений. Но хочу сказать, что в зависимости от матрицы и метода решений, наиболее лучший способ проверки будет разным. Поскольку у нас были прекрасные условия для метода Крамера, то есть определитель не равен нулю и равное число переменных и уравнений, то для простоты технологии решения и наглядности решили использовать его. Метод Крамера прост по своей технологии и не особо затратен по времени. Но это пока матрицы не становятся больше. Да и два необходимых условия метода не позволяют считать этот метод панацелином. Более универсальным является метод Гаусса. Хоть немного и сложнее технически, но проще в вычислениях, особенно на больших матрицах.
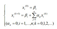
Для метода простых итераций необходимо диагональное преобладание. У нас матрица была такой, что диагональный элементы были меньше сумм членов строк, так что этот метод применить нельзя было. Но если бы матрица была подходящей для МПИ, то сначала бы мы приводили эквивалентную систему и дальше можно было бы приближение решать по формуле (1), и в развёрнутом виде формула (2).
Рис.1
Рис. 2
В условиях задачи сказано, что точность Е должна быть равна 0,00001. То есть Е = 0,00001. В любом методе можно искать приближённые значения до необходимой точности. А в маткаде необходимую точность можно задать с помощью команды Format->Result. В настройке Number od decimal places и задаётся необходимая точность.
Различают сходимость глобальную и асимптотическую. Глобальная сходимость означает, что при любом выборе начальной точки
последовательность
сходится к точке, удовлетворяющей необходимым условиям. Под асимптотической сходимостью понимается поведение последовательности
в окрестности предельной точки
. Это приводит к тому, что каждому алгоритму приписывается некоторый индекс эффективности, называемый скоростью сходимости г. Для метода простых итераций.
Теорема 2. (Необходимое и достаточное условие сходимости). Для того, чтобы итерационный процесс сходился при любом начальном приближении, необходимо и достаточно, чтобы все собственные значения матрицы А (матрица коэффициентов при неизвестных эквивалентной системы) лежали внутри единичного круга.
-
Перечислите основные способы проверки на достоверность и точность решений Систем ЛинАлг. уравнений и в чем преимущества выбранного Вами в работе способа проверки перед остальными и почему?
Насколько можно попытаться понять вопрос и доступную информацию, то универсальным способом проверки решений является метод Гаусса. Также можно применять и метод Крамера, но необходимо, чтобы определитель не был равен нулю и количество переменных было равно числу уравнений. Но хочу сказать, что в зависимости от матрицы и метода решений, наиболее лучший способ проверки будет разным. Поскольку у нас были прекрасные условия для метода Крамера, то есть определитель не равен нулю и равное число переменных и уравнений, то для простоты технологии решения и наглядности решили использовать его. Метод Крамера прост по своей технологии и не особо затратен по времени. Но это пока матрицы не становятся больше. Да и два необходимых условия метода не позволяют считать этот метод панацелином. Более универсальным является метод Гаусса. Хоть немного и сложнее технически, но проще в вычислениях, особенно на больших матрицах.
-
Каким образом можно обеспечить возможность применение метода простых итераций для решения СЛАУ? Если да, то продемонстрируйте это на примере своей задачи.
Для метода простых итераций необходимо диагональное преобладание. У нас матрица была такой, что диагональный элементы были меньше сумм членов строк, так что этот метод применить нельзя было. Но если бы матрица была подходящей для МПИ, то сначала бы мы приводили эквивалентную систему и дальше можно было бы приближение решать по формуле (1), и в развёрнутом виде формула (2).
Рис.1
Рис. 2
-
Продемонстрируйте на примере из Вашей ЛР связь обусловленности задачи и числ. метода с точностью решений.
В условиях задачи сказано, что точность Е должна быть равна 0,00001. То есть Е = 0,00001. В любом методе можно искать приближённые значения до необходимой точности. А в маткаде необходимую точность можно задать с помощью команды Format->Result. В настройке Number od decimal places и задаётся необходимая точность.
-
Локальная и глобальная сходимость, необходимые и достаточные условия сходимости итерационных методов (по выбору)
Различают сходимость глобальную и асимптотическую. Глобальная сходимость означает, что при любом выборе начальной точки
последовательность
сходится к точке, удовлетворяющей необходимым условиям. Под асимптотической сходимостью понимается поведение последовательности
в окрестности предельной точки
. Это приводит к тому, что каждому алгоритму приписывается некоторый индекс эффективности, называемый скоростью сходимости г. Для метода простых итераций. Теорема 2. (Необходимое и достаточное условие сходимости). Для того, чтобы итерационный процесс сходился при любом начальном приближении, необходимо и достаточно, чтобы все собственные значения матрицы А (матрица коэффициентов при неизвестных эквивалентной системы) лежали внутри единичного круга.